PESQUISAS DE PREÇOS
Produtos de Limpeza
Boletim 2/2025 - Setembro 2025
PÃO DE CARÁ
O IPC-Cará – Índice de Preços ao Consumidor do Pão de Cará, é um indicador econômico local criado pelo Departamento de Orçamento e Gestão (Deorg) da Prefeitura.
O pão de cará, reconhecido como patrimônio cultural imaterial do município pela Lei nº 4.032/2022, é um dos principais símbolos da identidade santista, presente diariamente nas padarias e mesas da população.
O IPC-Cará terá como base a pesquisa diária em 23 mercados e padarias de Santos, distribuídos por 5 regiões: Centro, Morros, Orla, Zona Intermediária e Zona Noroeste.
A metodologia prevê apuração semanal da variação de preços, com indicação do maior e menor valor encontrado, além da elaboração de relatório semanal sintetizado e mensal analítico que relaciona a oscilação local aos cenários econômicos nacionais e internacionais.

IPC-CARÁ - R$/KG
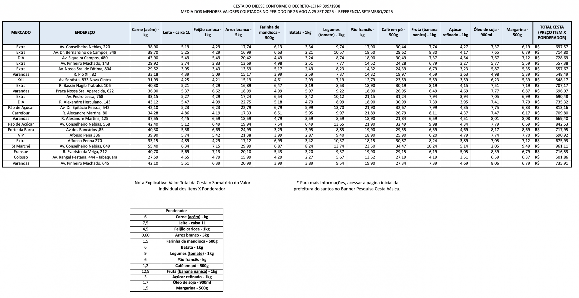
CESTA BÁSICA
Pesquisa de preços dos itens da cesta básica realizada em parceria entre a Prefeitura de Santos e o programa de extensão do curso de Ciências Econômicas da Universidade Católica de Santos (UniSantos). O levantamento mensal é feito em 22 supermercados e hipermercados da Cidade, selecionados de acordo com a sua localização e representatividade na região instalada.
Legislação
LEI Nº 3.179
DE 01 DE SETEMBRO DE 2015
DISPÕE SOBRE PESQUISA DE PREÇOS DA CESTA BÁSICA DE ALIMENTOS, E DÁ OUTRAS PROVIDÊNCIAS.
PAULO ALEXANDRE BARBOSA, Prefeito Municipal de Santos, faço saber que a Câmara Municipal aprovou em sessão realizada em 17 de agosto de 2015 e eu sanciono e promulgo a seguinte:
LEI No 3.179
Art. 1o. O Poder Executivo realizará mensalmente pesquisa de preços de produtos e mercadorias da cesta básica de alimentos, para a ampla divulgação do custo da alimentação no Município.
§ 1o. O resultado da pesquisa de preços, de que trata o “caput”, deverá ser publicado no Diário Oficial de Santos, na primeira semana do mês subsequente ao da realização da pesquisa.
§ 2o. O resultado da pesquisa de preços deverá ser di- vulgado oficialmente na forma de quadro, com a identificação e o preço do produto e da mercadoria pesquisados em quatro estabelecimentos comerciais no mínimo.
Art. 2o. O Poder Executivo poderá realizar periodicamente outras pesquisas de preços de produtos e mercadorias e de serviços de qualquer natureza do Município, de alcance geral ou setorial, para orientação dos consumidores e avaliação da conjuntura econômica local.
Parágrafo único. O resultado das pesquisas de preços, de que trata o “caput”, deverá ser publicado no Diário Oficial de Santos até 15 (quinze) dias úteis, contados da sua conclusão.
Art. 3o. O Poder Executivo poderá celebrar convênios, sem ônus para o Município, com instituições de ensino e de pesquisa de mercado, para a realização de pesquisas de preços de seu interesse, observada a legislação vigente.
Art. 4o. As despesas decorrentes da execução desta lei correrão pelas dotações orçamentárias próprias, suplementa- das se necessário.
Art. 5o. Esta lei entra em vigor na data da publicação, revogadas as disposições em contrário, em especial a Lei nº 1761, de 18 de maio de 1999.
Registre-se e publique-se.
Palácio “José Bonifácio”, em 01 de setembro de 2015.
PAULO ALEXANDRE BARBOSA PREFEITO MUNICIPAL
Registrada no livro competente.
Departamento de Registro de Atos Oficiais do Gabinete do Prefeito Municipal, em 01 de setembro de 2015.
SYLVIO ALARCON ESTRADA JUNIOR CHEFE DO DEPARTAMENTO